网站首页
升本专业
本科院校
招生简章
视频网课
升本资讯
关于我们
在线报名
升本资讯
NEWS
行业资讯
专升本报考
专升本常见问题
专升本政策
专升本经验
专升本历年真题
专升本成绩公示
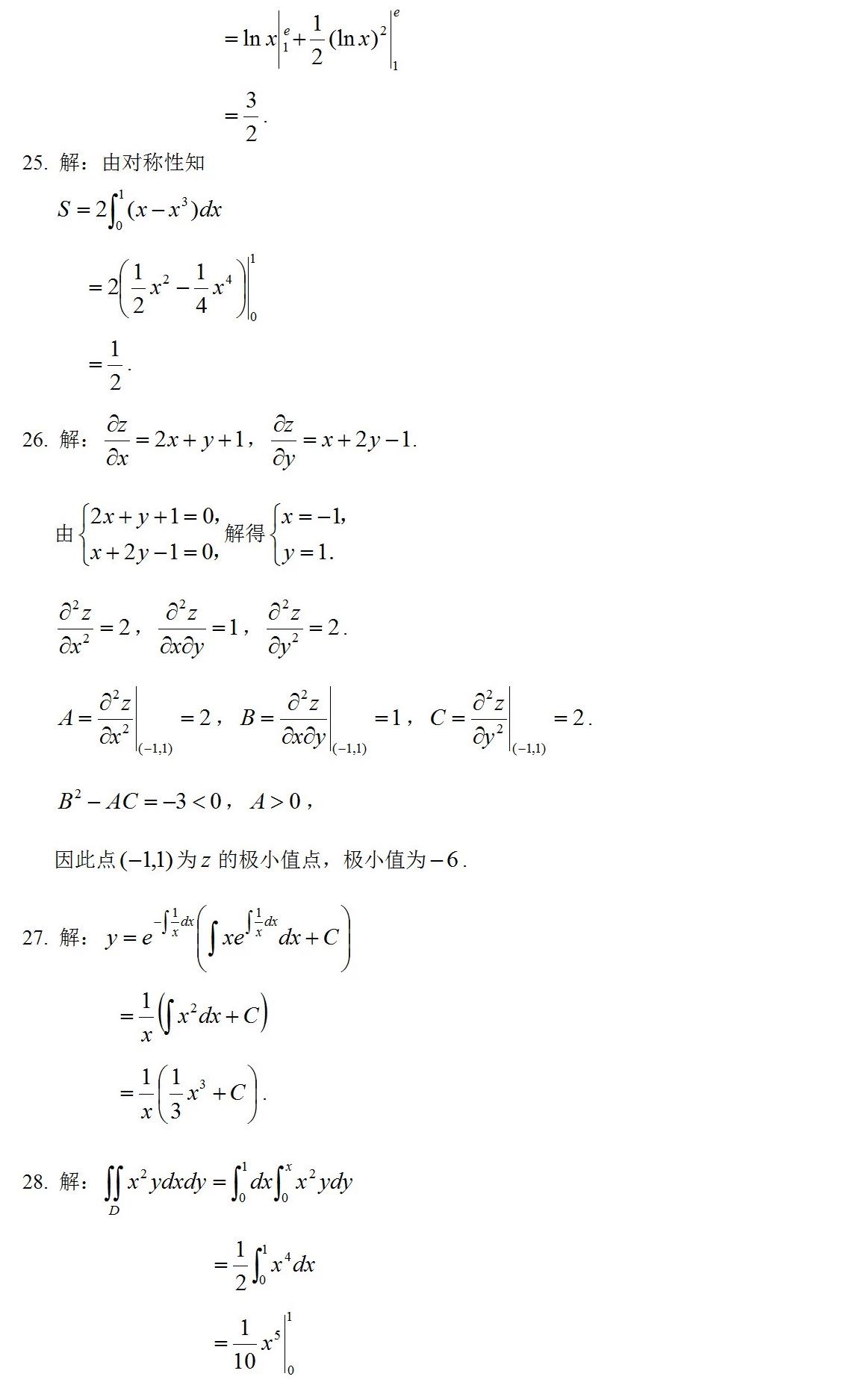
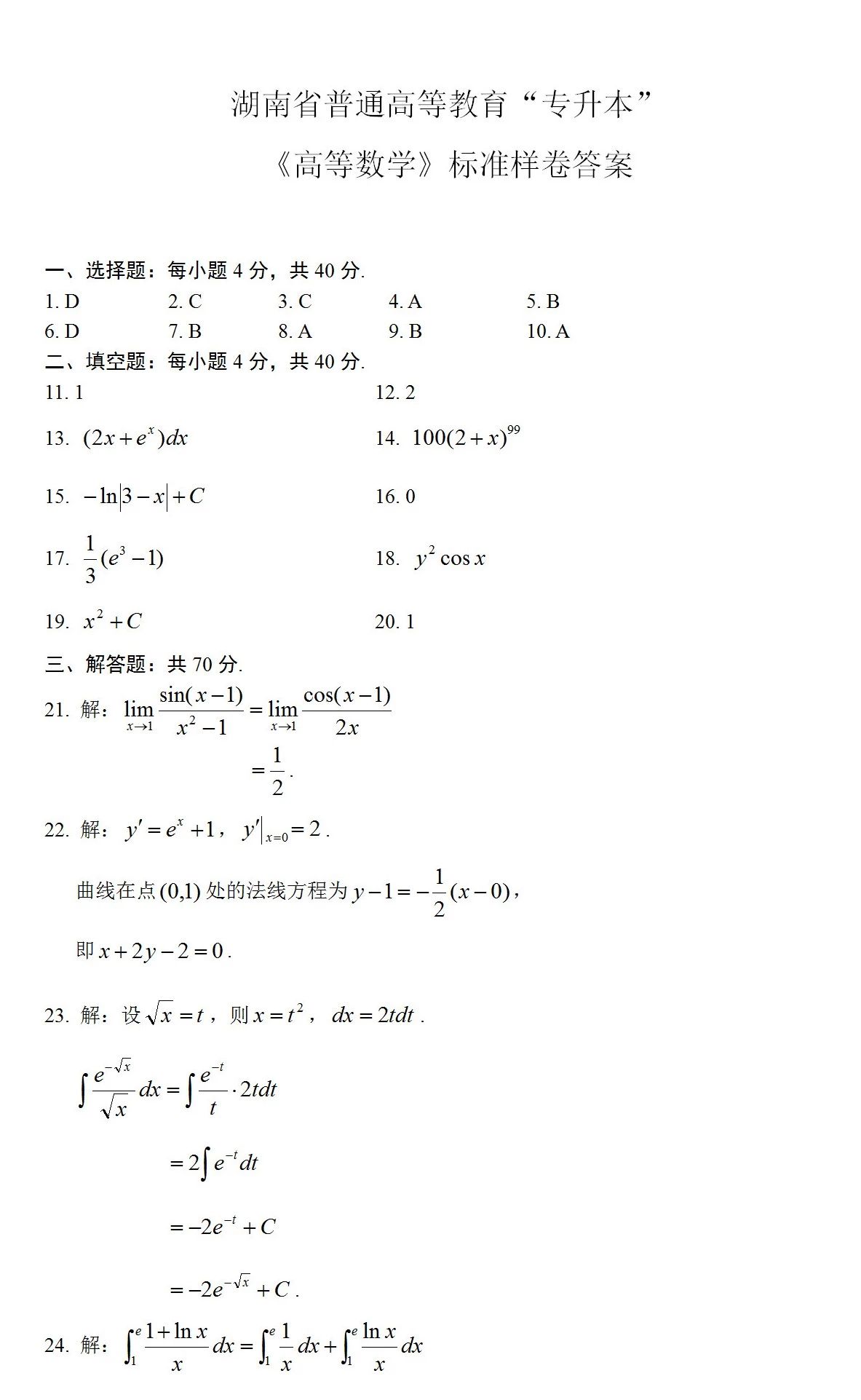
专升本高数|湖南省普通高等教育“专升本”标准样卷
浏览次数:
发布时间:2022-07-05
湖南省普通高等教育“专升本”
《高等数学》标准样卷
上一篇:专升本数学|函数极限
专升本广告学|模拟练习题及答案