专升本成绩公示

2022年湖南工商大学“专升本”选拔考试成绩公示

浏览次数: 发布时间:2022-05-16

各位考生:


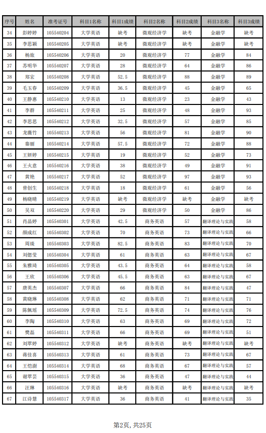
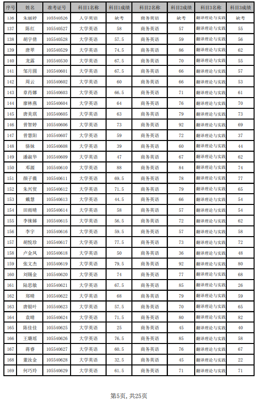
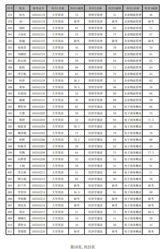
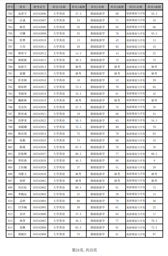
2022年湖南工商大学“专升本”选拔考试(笔试)已经结束,现将考试成绩公示(附件)。公示期为2022年5月15日至5月17日。在公示期内,考生如对成绩有疑问,可以向我校教务处申请查分。我校将按照教育部、国家保密局印发的《教育工作中国家秘密及其密级具体范围的规定》以及湖南省教育厅发布的《关于做好我省2022年普通高等学校专升本考试招生工作的通知》等相关文件要求和规定,组织相关部门和人员对申请查卷考生的试卷卷面总分进行复核,复核结果将在3日内告知学生。


湖南工商大学教务处咨询电话:0731-88689005 王老师


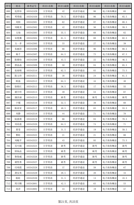
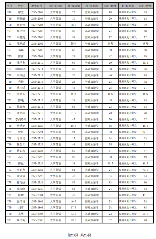
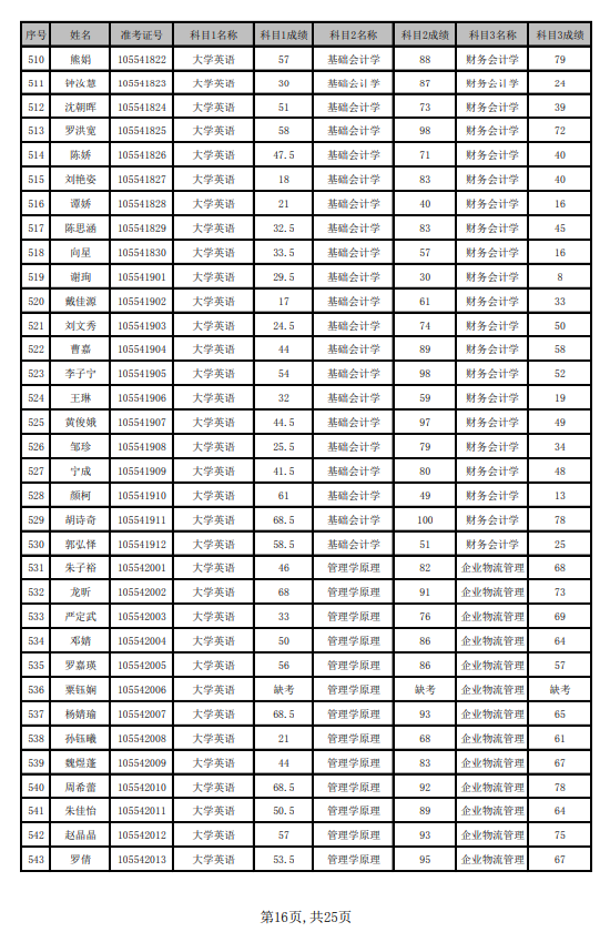
附件:2022年湖南工商大学“专升本”选拔考试成绩.pdf

湖南工商大学

2022年5月15日

image.png

image.png


image.png

image.png

image.png

image.png

image.png

image.png

image.png

image.png

image.png

image.png

image.png

image.png

image.png

image.png

image.png

image.png

image.png

image.png

image.png

image.png

image.png

image.png

*内容来源于:湖南工商大学教务处




扫码关注公众号,免费领取英语四级模拟试卷!

湖南库课专升本微信公众号8cm.jpg




上一篇:没有了                  湖南医药学院2022年专升本考试成绩查询公告